この記事は次のような人にオススメです!
・LaTeXの環境構築は済んでいる
・解析学(微分・積分)のレポート(答案)をLaTeXで作成したい
・LaTeX指定でレポートを提出する必要があり、困っている
・毎回LaTeXのコマンドを調べるのが面倒くさい
線形代数や実験レポートに関する記事も掲載していますので,そちらもご覧いただけると幸いです.


環境構築
既にLaTeXを利用する環境が整っている場合,この章はスキップしていただいて構いません.
環境構築がまだお済みでない方は,以下の記事にてオススメのツールを比較形式でご紹介しておりますので,そちらもあわせてご覧いただけると幸いです.
解析分野で使用する主なLaTeXコマンド
早速,以下に解析分野で使用する主なLaTeXコマンドの一覧をまとめます.
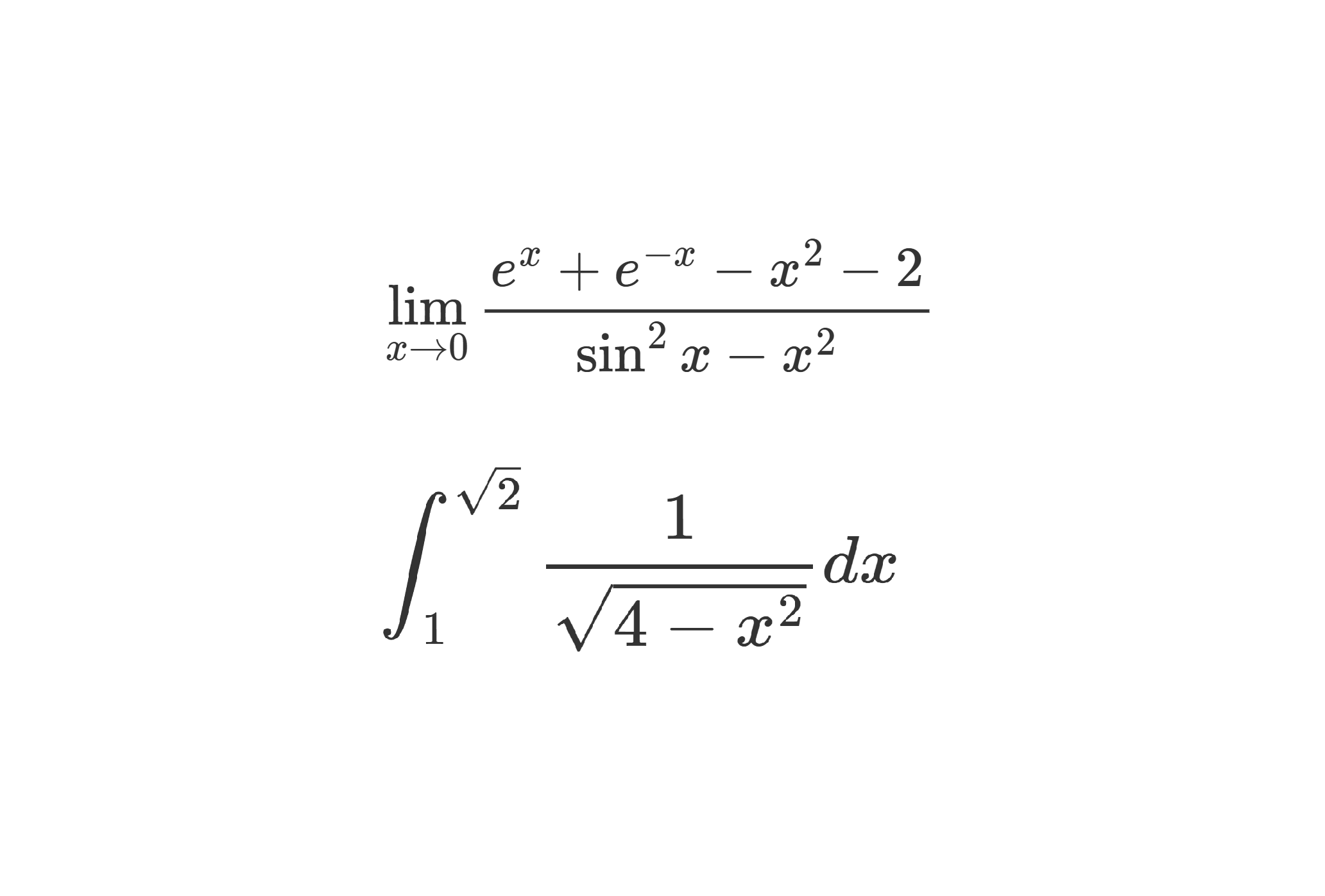
極限
limは,「\lim」コマンドを使用します.「\lim」コマンドを使用することで,「lim」の部分だけ筆記体ではなくブロック体表示になります.また,「\lim」コマンドにアンダースコアを付けることで,下付き文字にも対応できます.
\lim_{x \to 0} \frac{e^x + e^{-x} -x^2-2}{\sin^2x-x^2}\[ \lim_{x \to 0} \frac{e^x + e^{-x} -x^2-2}{\sin^2x-x^2} \]
積分
インテグラルは,「\int」コマンドを使って出力します.以下のように,アンダースコアとハットを使って,積分範囲を指定することができます.
\int_1^{\sqrt{2}} \frac{1}{\sqrt{4-x^2}} dx\[ \int_1^{\sqrt{2}} \frac{1}{\sqrt{4-x^2}} dx \]
二重積分の場合も同様の規則で記述することができます.
\int \int_D (x^3+y^3) dxdy \quad D:y \leq x \leq 1, \quad 0 \leq y \leq 1\[ \int \int_D (x^3+y^3) dxdy \qquad D:y \leq x \leq 1, \quad 0 \leq y \leq 1 \]
補足
LaTeXでスペースを開けたい場合は,「\quad」コマンドを使います.少し大きめのスペースを開けたい場合は,「\qquad」コマンドを使います.
波括弧を用いた連立数式
\[ f(x) = \left\{ \, \begin{aligned} & \log(1-x) && (x<0) \\ & a && (x=0) \\ & b+\sqrt{x+2} && (x>0) \end{aligned} \right. \]\[ f(x) = \left\{ \, \begin{aligned} & \log(1-x) && (x<0) \\ & a && (x=0) \\ & b+\sqrt{x+2} && (x>0) \end{aligned} \right. \]
補足
LaTeXコマンドとしての波括弧なのか,数式としての波括弧なのかを判別するために,数式としての波括弧を記述する場合は,「\{」のように記述します.さらに,連立する数式の数によって波括弧の大きさを可変にする必要があるため,「\left\{」とします.
また,今回の例では右の閉じ括弧は不要であるため,対になる部分は「\right.」のように記述します.
ちょっとしたテクニックにはなりますが,右側の条件部分($(x<0)$など)は,「&&」を直前に付けることでインデントを揃えることができます.


